3
svar
61
visningar
Axiom behöver inte mer hjälp
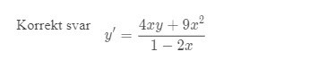
Implicit derivering

Jag försökte:
y´=4x*y´+9x^2
1-4x/9x^2=y´
Men detta är fel ;(
Visa spoiler

Du glömde produktregeln:
tomast80 skrev:De glömde produktregeln:
Aha okej, tack så hemskt mycket!
jo tack