2 svar
97 visningar
gillarhäfv behöver inte mer hjälp
gillarhäfv 172
Postad: 15 mar 2023 08:55

Implicit derivering m.a.p på t

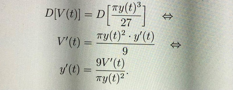
Hej! Vi har börjat med implicit derivering och jag har fastnat på:

dvs facit på bilden. Hur får man till y’(t)? Kedjeregeln? Jag har försökt, men då (enligt mig) pi’ är 0 vet jag inte riktigt hur jag ska göra för att få rätt svar. 
vad i denna funktionen är mitt f(X) respektive g(X) eller skall man använda kvotregeln eller produktregeln också? 
mvh!

Tomten 2053
Postad: 15 mar 2023 09:03

Pi är en konstant faktor i uttrycket. Det är    med avseende på t som man ska derivera.

gillarhäfv 172
Postad: 15 mar 2023 11:24 Redigerad: 15 mar 2023 11:28
Tomten skrev:

Pi är en konstant faktor i uttrycket. Det är    med avseende på t som man ska derivera.

ok! tack! Löste den nu när jag strök 3 mot 27 i nämnaren via kedjeregeln!

Svara
Close