5
svar
84
visningar
Implicit drivering
Hej!
Uppgiften är att man ska hitta andra drivatan och uttrycka det i x och y.
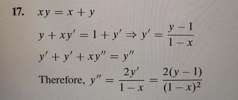
Uppgift:
xy= x+y
Min lösning:


Facit:

Jag förstod det som står i facit. Men varför min lösning är fel? Min är krångligare men det borde ge samma resultat.
I början på din andra bild får du bilda produkten (x-1)(y-1) för att få ner x-1 under bråkstrecket, och då blir dessutom (x-1)3, inte (x-1)4.
x-1 är redan under bråkstrecket. Hmm om du tittar på andra bilen så ser du att täljarens nämnare har men även i nämnaren finns som blir
När du går från första till andra raden i bild två blir det fel.
Ok, hur blir det fel? för att jag ser inget fel där.
??