0
svar
118
visningar
Implicita funktioner

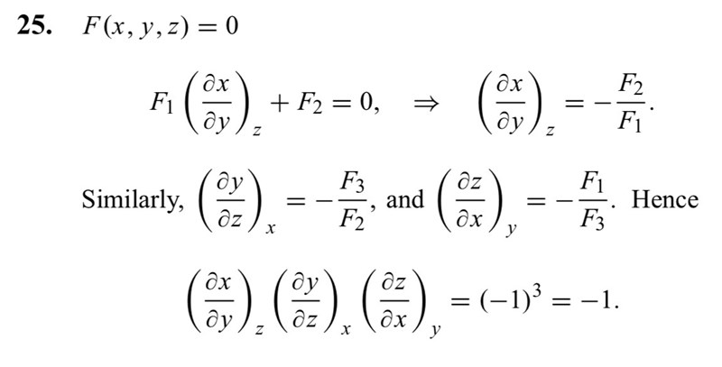
Här är första delen av facit för frågan. Jag förstår inte varifrån F1, F2 osv kommer ifrån? Hur vet man att när man gångrar F1 med + F2 blir noll? Har arbetat med uppgifter nu kring implicita funktioner och implicita funktionssatsen men den här lyckas jag inte greppa med F osv.