3
svar
132
visningar
Calculus behöver inte mer hjälp
Implicita funktionssatsen
Jag har fastnat på en del av en lösning som jag inte lyckas förstå. Jag hänger med på allt innan h_xx, jag förstår inte varför inte blir 0 då den funktionen inte innehåller x likt hur
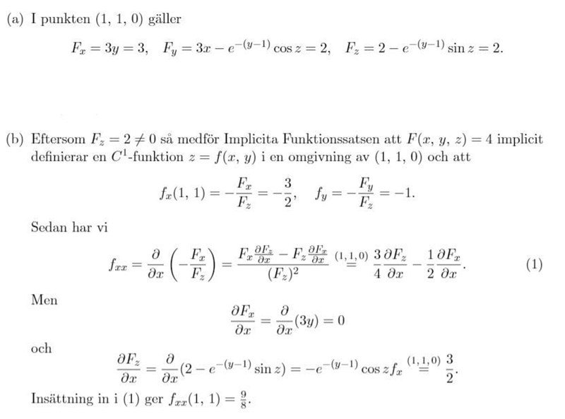
Frågan:
Lösningen:

Tack på förhand!
innebär att FZ deriveras med avseende på z, inte x. :)
Smutstvätt skrev:innebär att FZ deriveras med avseende på z, inte x. :)
Exakt vad jag tänkte men det står kan det vara så att de skrivit fel?
Jaha, oj, nu ser jag! Jag tror att de ser som en funktion av x och y, och sedan deriverar implicit med avseende på x. Då får vi en inrederivata med avseende på x. :)