3 svar
482 visningar
eliqa1 10 – Fd. Medlem
Postad: 21 okt 2022 21:36 Redigerad: 21 okt 2022 21:53

Implikation

Hej vänner 👋 

Jag känner mig helt förvirrad nu efter att jag har funderat länge på denna uppgift!

Tacksam för några ord från er som kan/vet hur man ska avgöra detta…

jag har förstått att ”—>” betyder ”MEDFÖR”

men vadå, det känns som den flesta är rätt men samtidigt fel 😑 

Fermatrix 7621 – Fd. Medlem
Postad: 21 okt 2022 21:59 Redigerad: 21 okt 2022 22:02

Jag föstorade bilden eftersom jag fick stirra mig blind för att se något!

ABA \implies B betyder att om A är sant, så kan vi dra slutsatsen att B är sann.

Här är ett exempel:

Om det snöar är skolan stängd = A

Skolan är stängd är = B.

Om det verkligen är så att skolan är stängd om det snöar säger vi att ABA \implies B.

Ekvivalens betyder att Om A är sant, så kan vi dra slutsatsen att B är sann. Om B är sann kan vi dra slutsatsen att A är sann.

I detta fallet så är det inte sant att BAB \implies A eftersom skolan kan vara stängd av andra skäl.

 

Låt oss tackla ditt första exempel:

är 2x-1=0x=122x-1=0 \implies x = \dfrac{1}{2} sant? Ja. Den enda lösningen till ekvationen är nämligen x=12x= \dfrac{1}{2} så det stämmer att om den vänstra ekvationen gäller så kan vi dra slutsasen att x är en halv. Här råder egentligen ekvivalens.

Det är så att 2x-1=0x=122x-1=0 \iff x = \dfrac{1}{2}

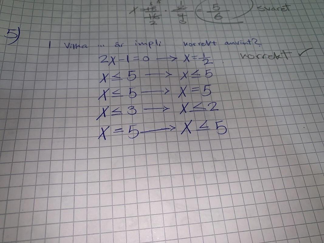
Nu har vi olikheter, rita upp en tallinje där du markerar ut hela mängden för dina två utsagår (påståenden) och kika, är det sant att den vänstra olikheten implicerar den högra?

eliqa1 10 – Fd. Medlem
Postad: 21 okt 2022 22:15

Stort tack 🙏 för dina ord!

Nu känns det faktiskt lite bättre, tänker att utifrån din hjälp kan jag dra slutsatsen att tredje alternativet är fel! Eller?

Smaragdalena 78892 – Avstängd
Postad: 22 okt 2022 08:19

Du har rätt, det tredje alternativet är fel.

Svara
Close