Indexräkning divergensen av resultatet av kryssprodukten av två vektorer



Hej!
Jag undrar om man kan skriva om den andra bilden som den tredje bilden för att uttrycka svaret på vektorform? Epsilonsymbolen kännetecknar ju kryssprodukten. Jag förstår bättre om det står nabla först och sen epsilonsymbolen med uk och rj.
Nästan.

PATENTERAMERA skrev:Nästan.
Jag förstår inte riktigt vad du gör i andra steget. r är ju en ortsvektor som vi inte kan flytta hur som helst som man gör med en skalär. I tredje steget har du mutiplicerat så att vi får -r*(nabla×u) ,ska det inte vara -r ×(nabla u) eftersom eijk är ju kryssprodukten?
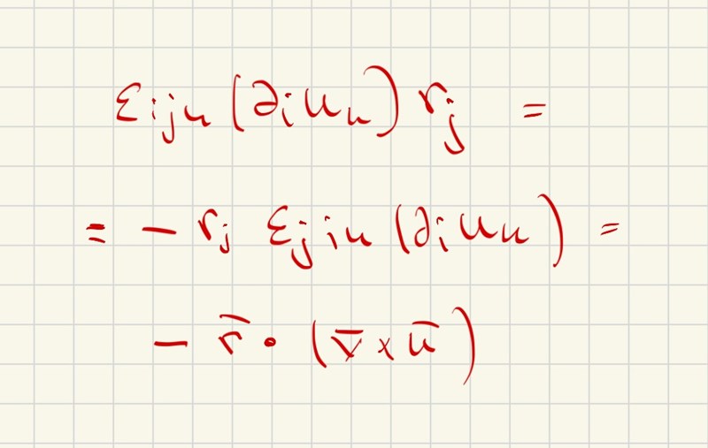
Noterat att rj faktiskt är en skalär (den j:te komponenten hos vektorn r). Så vi kan flytta den.
Vi har nu

PATENTERAMERA skrev:Noterat att rj faktiskt är en skalär (den j:te komponenten hos vektorn r). Så vi kan flytta den.
Vi har nu
Varför byger vi plats på i och j? Det sista resultatet förstår jag inte hur det blir så. Isåfall borde man kunna flytta uk då den är en skalär komponenten hos vektorfältet i u så att man har -rj ×nabla uk eller något i stil med -rj eijk di(uk)=-rj ×nabla uk. Jag undrar om man kan flytta in ejik mellan di och uk för då blir det mer logiskt för mig? Sen tror jag di ska dj då du skriver att du byter plats mellan i och j.
Du menar att det skulle bli ? Detta är en andra ordningens tensor och inte en skalär. Svaret skall bli en skalär eftersom divergensen av en vektor är en skalär.
PATENTERAMERA skrev:Du menar att det skulle bli ? Detta är en andra ordningens tensor och inte en skalär. Svaret skall bli en skalär eftersom divergensen av en vektor är en skalär.
Ja jag vet att divergensen av en vektor är skalär. Ja precis det är så jag menar. Jag hänger inte med på alla dina steg i förra inlägget i#4 och i #2. Skulle uppskatta om du kan ta dig tiden och förklara på ett enkelt sätt. Detta är en svårt och nytt koncept för mig som jag försöker smälta in. Vi kan titta mer på hur jag började och hur jag ska gå vidare så att jag kommer vidare.
Såhär tänkte jag mig. Återigen jag vet inte om man får göra så dvs flytta in ejik mellan nabla och vektor u och sen ha rj utanför så att resultatet blir skalärt. Jag vet fortfarande inte var minustecknet framför rj kommer ifrån som du fick i någon av inläggen. En annan sak jag aldrig fått svar på är varför man byter på plats på två index hos epsilon symbolen, samma bokstav finns hos r också. Borde inte det vara isåfall gälla ri istället för rj samt dj istället för di eller är det pga eijk=-ejik? Obs det skall stå ejik(skrev fel på bilden nedan)
