Indexräkning med integraler (Vektoranalys)


Såhär långt har jag kommit. Men jag är fast vid hur jag ska förenkla detta vidare då jag har svårt att matcha A×ds med A×nabla(phi) Derivatan av skalärfältet phi borde väl bli 0?sen är jag förvirrad över vad det är för typ integral på HL såsom det står.

Det finns en generaliserad Gauss för tensorer. Kolla i Ramgard.
. Du kan använda den här.
PATENTERAMERA skrev:Det finns en generaliserad Gauss för tensorer. Kolla i Ramgard.
. Du kan använda den här.
Var i ramgard? jag hittade sidan 170 men jag är bara mer förvirrad över hur jag ska fortsätta och likställa med uppgiften.

Det är denna.

PATENTERAMERA skrev:Det är denna.
Hur ska man tillämpa detta? Jag vet inte var i min uträkning jag ska använda mig av gaus satsen. Jag vill visa att VL=HL gäller. Hur vet vi att det är just den satsen vi ska använda och varför ska vi använda den?
PATENTERAMERA skrev:
Det är ju precis hur jag började i #1. Man kan flytta ut eijk och så har man dj(phiA_k). Du kan se hur jag försökt i #1 och vad jag kommit fram till.
Nej, du vill flytta in den som jag gjorde och sedan utnyttja generaliserade Gauss för att omforma till en ytintegral.
Tillägg: 15 nov 2025 15:20

PATENTERAMERA skrev:Nej, du vill flytta in den som jag gjorde och sedan utnyttja generaliserade Gauss för att omforma till en ytintegral.
Jag förstår inte riktigt hur vi ska utnyttja generaliserade gaus och hur den ser ut. Jag är lite vilse nu..
Se min kommentar på #8.
PATENTERAMERA skrev:Se min kommentar på #8.
Ja jag har sett den men förstår inte vad du gör och sen hur det liknar i den boken
Vid vilket steg stoppar det?
PATENTERAMERA skrev:Vid vilket steg stoppar det?
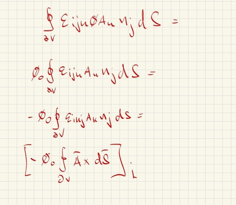
Jag skulle säga alla steg här i denna bild. Se bild
1. Du går från integral V till dV (hur?) Och sen försvinner nabla operator från ingenstans (varför?)
2. Var kommer njdS ifrån?
3. I näst sista termen byter du på plats mellan två index. Varför gör du det?
4. Varför har konstanten phi en index o?

1. Det är precis detta som Gauss säger. Vi har en volymsintegral av derivatan av en tensor T (jag skippar att skriva ut indexen, det kan vara godtyckligt antal)
Med Gauss så kan vi skriva om detta till en ytintegral över randen av volymen V.
.
2. Här är dSj = njdS det vektoriella ytelementet, dvs dSj = (dS)j. nj är j:te komponenten av enhetsnormalen.
3. Jag vill få AxdS eftersom det är det uttrycket som man vill ha med i formeln som man skall härleda.
4. På randen så har det konstanta värdet . Så det går att bryta ut utanför integralen som sker över randen.
PATENTERAMERA skrev:1. Det är precis detta som Gauss säger. Vi har en volymsintegral av derivatan av en tensor T (jag skippar att skriva ut indexen, det kan vara godtyckligt antal)
Med Gauss så kan vi skriva om detta till en ytintegral över randen av volymen V.
.
2. Här är dSj = njdS det vektoriella ytelementet, dvs dSj = (dS)j. nj är j:te komponenten av enhetsnormalen.
3. Jag vill få AxdS eftersom det är det uttrycket som man vill ha med i formeln som man skall härleda.
4. På randen så har det konstanta värdet . Så det går att bryta ut utanför integralen som sker över randen.

Jag försöker göra precis som du gjort när du definierat den här gaus universalsats. Men jag är lite lost på hur jag ska gå vidare
Eftersom du integrerar över randen så är phi konstant och kan brytas ut utanför integralen. Vidare så har du att
eijkAkdSj = -(A x dS)i.
PATENTERAMERA skrev:Ja.

Så långt har jag kommit
Se #16 igen.
PATENTERAMERA skrev:Se #16 igen.

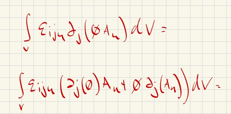
Detta är vad jag får nu. Men jag tror inte vi är klara. Vi saknar en till term?
Tänk på att phi är lika med konstanten phi-noll på randen. Så du bör skriva phi-noll när du flyttar utanför integralen.
Sedan får du gå tillbaka till din ursprungsintegral. Använd produktregeln.

PATENTERAMERA skrev:Tänk på att phi är lika med konstanten phi-noll på randen. Så du bör skriva phi-noll när du flyttar utanför integralen.
Sedan får du gå tillbaka till din ursprungsintegral. Använd produktregeln.
Ja men hur använder jag gaus universal sats här då?

I din högra term hittar du vilket är något särskilt enligt uppgiftstexten. Den vänstra termen har ni ju redan fixat, det är ju den vänstra termen som är din "egentliga" integral.
D4NIEL skrev:I din högra term hittar du vilket är något särskilt enligt uppgiftstexten. Den vänstra termen har ni ju redan fixat, det är ju den vänstra termen som är din "egentliga" integral.
Jag hänger tyvärr inte med. Den vänstra integral vet jag inte vad du menar med att vi har fixat den? Håller med om den högra integralen.
Jag testade att typ stoppa in eijk och Ak mellan dj och phi för att matcha dj(T) dV. Jag ver inte om man kan flytta in A_k inne i en differentialoperator för eijk kan man ju flytta in eller ut.

Nej, så kan du inte göra, här skall derivatan bara verka på phi.
Utnyttja istället att eijkAkdj(phi) = (grad(phi) x A)i. Titta vad det står i VL på den formel som vi skall härleda.
PATENTERAMERA skrev:Nej, så kan du inte göra, här skall derivatan bara verka på phi.
Utnyttja istället att eijkAkdj(phi) = (grad(phi) x A)i. Titta vad det står i VL på den formel som vi skall härleda.
Ok men jag vet inte vilken formel du menar och vad vi ska härleda.
PATENTERAMERA skrev:
Såhär långt har jag kommit. Men vi kommer bara tillbaka till det vi gjorde innan vi gjorde produktregeln.

Slutligen får jag detta nedan där c1=-phi0 och c2=1

Om du gå igenom räkningarna så ser du att vi visat två saker.
1.
2. .
Utnyttja 1 och 2 för att få fram det sökta resultatet.
PATENTERAMERA skrev:Om du gå igenom räkningarna så ser du att vi visat två saker.
1.
2. .
Utnyttja 1 och 2 för att få fram det sökta resultatet.
Jag har ju visat vad jag kom fram till i #30 och #29.
Men jag håller med dig. Man hade kunnat utnyttja första härledningen och säga att det är lika med punkt 2. Då får man slutresultatet.
Ditt misstag är att det är inte korrekt att .
PATENTERAMERA skrev:Ditt misstag är att det är inte korrekt att .
Vilket misstag är det nu igen? Vad ska jag ta bort respektive behålla?
PATENTERAMERA skrev:
Ok då tar jag bort allt nedan.

Jag hoppas detta är rätt.
Jag får eftersom jag tolkar det som att man vill använda högerledet
D4NIEL skrev:Jag får eftersom jag tolkar det som att man vill använda högerledet
Ingen aning var minustecknet kommer ifrån på c2. Mitt HL uttryck verkar rätt i alla fall. Något som är störande enligt facits lösning är hur de bara sätter ett minustecken mellan båda uttryck när de utför produktregeln. Men det kan vara så att eftersom vi byter plats på index på eijk så blir andra termen -eikjphidj(Ak)=-phinabla×Ak
Uppgiften handlar om
Där vi använde kedjeregeln baklänges. Nu kan vi tillämpa Gauss sats på första termen samt att fältet på ytan
Uttrycket motsvarar (med )
Dvs och
Tillägg: 16 nov 2025 15:50
Det ska såklart vara produktregeln!
D4NIEL skrev:Uppgiften handlar om
Där vi använde kedjeregeln baklänges. Nu kan vi tillämpa Gauss sats på första termen samt att fältet på ytan
Uttrycket motsvarar (med )
Dvs och
Produktregeln har väl plus framför? Kedjeregeln baklänges vet jag inte vad du menar med det. Men ett annat sätt är väl som jag nämnde att man byter plats på två index i eijk så att vi får -eikj och sen multiplicera in i parentes uttrycket som är produktregeln.
Vi tillämpar kedjeregeln: = .
Detta ger
.
Hängde du med?
PATENTERAMERA skrev:Vi tillämpar kedjeregeln: = .
Detta ger
.
Hängde du med?
Ja. Du flyttade runt lite. Men hur gör man sen därifrån för att få vad c1 och c2 blir?
Tillägg: 16 nov 2025 15:44
Jag tror jag kanske ser vad detta ska bli.



