Indexräkning och bevis


Jag förstår facit i uppgift a däremot hänger jag inte med på hur man löser uppgift b, är inte skalärprodukten av B och r en vektor som sedan delas med konstanten r^3 och sedan multipliceras med ytterligare en vektor?
Vilken lag är det de använder för att expandera uttrycket? Hur ska man göra när det är division med en konstant r^3, r^2 eller r?
Lite för längesedan jag gjorde sådana här kalkyler. Men en skalärprodukt av två vektorer är alltid en skalär - inte ngn vektor.
Tomten skrev:Lite för längesedan jag gjorde sådana här kalkyler. Men en skalärprodukt av två vektorer är alltid en skalär - inte ngn vektor.
skrev det på tenta men fick kommentaren "logisk fel" kanske något annat de syftade på men då är alltså så att vi tar nabla skalär med en vektor? för B skalär r är en skalär som delas med en konstant som sedan multipliceras med en vektor?
Behöver uppfräschning av notationen. Vill minnas att nabla är en differentialoperator, dvs arbetar som en lineär operator typ L: V-->V. I ett ändligdim vektorrum kan den ges i matrisform. Punkten brukar betyda skalärprodukt, men betyder den möjligen något ytterligare här? Jag vet att vi har folk här på akuten som har det här mer aktuellt och kan hjälpa oss. Ha tålamod!
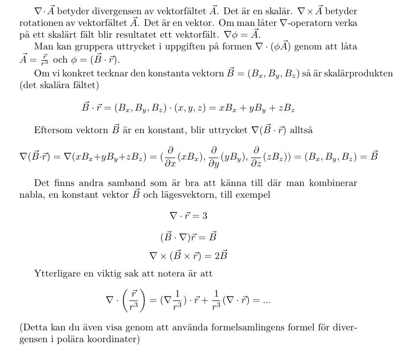
Eftersom Latex verkar vara lite ur gängorna idag (fastnat i displaystyle eller något), får du en bild istället.
