Induktion
Hej.
Sitter och finular på b) i nedanstående uppgift, om någon skulle kunna hjälpa mig med det?
Uppgift

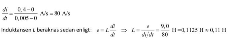
Facit i b)

Min fråga
Jag har i någon anteckning skrivit att man ska dra en tangent vid funktionens startvärde för att strömmen då är så liten att den kan försummas. Jag förstår dock inte riktigt innebörden av detta. Har det kanske att göra med att om strömmen är så liten att den kan försummas så borde spänningen vid den tidpunkten inte utgöras av någon inducerad spänning utan bara av spänningskällans spänning, dvs 9.0 v?
Detta verkar ju stämma med vad wikipedia hävdar, att det induceras en spänning om strömmen varierar. Men om detta är fallet, kan man då säga att då strömmen varierar blir tot-spänning= U-spänningskälla+U-inducerad spänning. ?
Känns ju inte rimligt att spänningen kan bli mer än vad som finns givet från början på något sätt....
Spolen har både en induktans och en resistans. Man kan se den som en ideal spole och en resistor i serie. När strömmen är så liten att spänningen U=Ri över resistorn är nästan 0, kan man bortse från det spänningsfallet och räkna med att bara induktansen i spolen spelar roll. När strömmen inte är så liten att den kan försummas, kommer en del av spänningen att ligga över resistorn istället. När strömmen har gått upp till sitt fulla värde (och alltså inte varierar längre) ligger hela spänningen över resistorn. Det är väl det du har utnyttjat når du löste a-uppgiften.
Du skriver " ..räkna med att bara induktansen i spolen spelar roll". Vad menar du där?
Ja precis, så gjorde jag på a-uppgiften.
Du skriver " ..räkna med att bara induktansen i spolen spelar roll". Vad menar du där?
Så att du vet vilket värde på spänningnen som du skall sätta in i formeln. Om du väljer en senare tidpunkte så blir det krångligare, eftersom den del av spänningen ligger över (den tänkta) resistorn och en del av spänningen över (den ideala) spolen.
Ok tack för det :)