Induktion
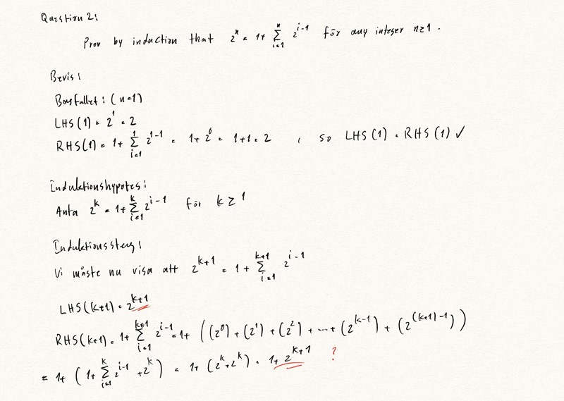
Hej! Jag försöker lösa en uppgift och jag har kommit långt med den, men jag har fått felaktigt svar och gjort fel nånstans. Jag kan inte hitta felet och behöver därför lite hjälp med att att lösa den. Tack så mycket!
Jämför t.ex.:
Affe Jkpg skrev:Jämför t.ex.:
förstår inte vad du exakt menar! Hur ska denna jämförelse hjälpa mig med att lösa uppgiften? Jämförelse med tal är inte tillåtet när man bevisar mha induktion
förstår inte vad du exakt menar! Hur ska denna jämförelse hjälpa mig med att lösa uppgiften? Jämförelse med tal är inte tillåtet när man bevisar mha induktion
Jo, din uträkning inom summatecknet är felaktig.
Jag gav dig en ledtråd till varför summan blir en annan än du tänkt dig :-)
Affe Jkpg skrev:förstår inte vad du exakt menar! Hur ska denna jämförelse hjälpa mig med att lösa uppgiften? Jämförelse med tal är inte tillåtet när man bevisar mha induktion
Jo, din uträkning inom summatecknet är felaktig.
Jag gav dig en ledtråd till varför summan blir en annan än du tänkt dig :-)
ok, tack! men jag kan inte se vart jag har gjort fel i den näst sista raden och jag skulle vara tacksam om du kunde visa mig hur du skulle ha löst den så jag kan förstå detta
Du påstår att:
Detta stämmer inte. Det ska vara:
Affe Jkpg skrev:Jämför t.ex.:
Tack så mycket både Ebola och Affe Jkpg