6
svar
127
visningar
offan123 behöver inte mer hjälp
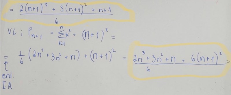
Induktion
Är det rätt hitills och hur kan jag komma vidare?
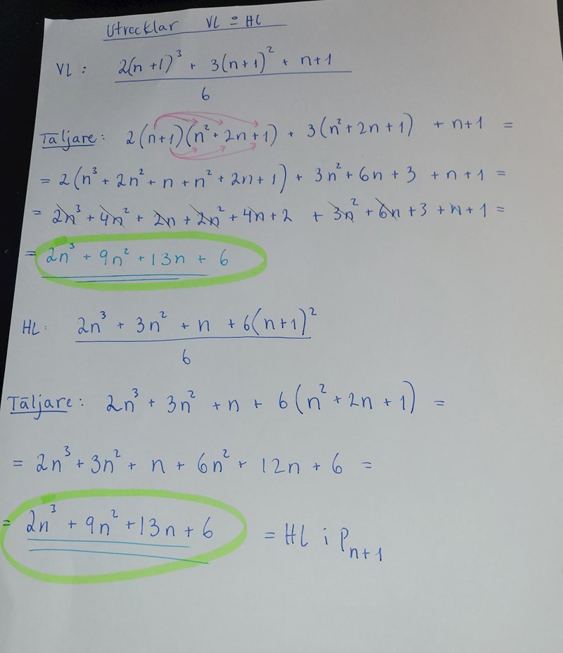
Visa att de inringade uttrycken är lika.

Jo, tänkte samma sak, men får problem hur jag ska skriva om det. Jag vet inte hur jag kan förändra 2n3 + 3n2 + n.
Däremot vet jag att det kan ta längre tid men att jag utvecklar det som är inringat överst och att jag utvecklar allt för den andra.
Kan man göra det här på ett effektivare sätt?
De här stegen känns så onödiga
Det enklaste är nog att bara utveckla båda uttrycken så man får på formen an3 + bn2 + cn + d. Och sedan jämföra.
Ok, tack!
OK, det var det du gjorde. Topp!