10 svar
81 visningar
destiny99 behöver inte mer hjälp
destiny99 Online 11644
Postad: 23 feb 2024 14:46 Redigerad: 23 feb 2024 14:50

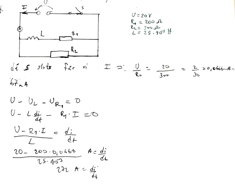
Induktion vid beräkning av strömmen efter en lång tid

varför stämmer ej strömmen efter lång tid?

ThomasN 2678
Postad: 23 feb 2024 15:34

Med "lång tid" menas att allt har stabiliserats efter tillslaget. Strömmar och spänningar har i stort sett konstanta värden. Vad betyder det för induktansen?

destiny99 Online 11644
Postad: 23 feb 2024 15:48 Redigerad: 23 feb 2024 15:49
ThomasN skrev:

Med "lång tid" menas att allt har stabiliserats efter tillslaget. Strömmar och spänningar har i stort sett konstanta värden. Vad betyder det för induktansen?

Aa okej jag vet ej vad det betydee för induktansen. Har svag minne av detta. Men då kommer induktansen  ha högre spänning?

ThomasN 2678
Postad: 23 feb 2024 15:50

En ledtråd: Vad blir -L di/dt när i är konstant?

destiny99 Online 11644
Postad: 23 feb 2024 15:51
ThomasN skrev:

En ledtråd: Vad blir -L di/dt när i är konstant?

Varför sätter du - framför L*di/dt?? 

Då är e=0?

ThomasN 2678
Postad: 23 feb 2024 15:58

Precis! spänningen över induktansen blir noll.

Då har R1 och R2 samma spänning över sig.

destiny99 Online 11644
Postad: 23 feb 2024 16:08
ThomasN skrev:

Precis! spänningen över induktansen blir noll.

Då har R1 och R2 samma spänning över sig.

Ja det stämmer. Men varför sätter du minus framför e=-L*di/dt?

ThomasN 2678
Postad: 23 feb 2024 16:14

En miss, sorry.

destiny99 Online 11644
Postad: 23 feb 2024 16:18
ThomasN skrev:

En miss, sorry.

Aha det var av misstag alltså?

ThomasN 2678
Postad: 23 feb 2024 16:22

Ja, det det var ett misstag.

Men poängen är att om i är konstant blir derivatan noll och därmed också spänningen över induktansen noll. Induktansen blir som en kortslutning.

destiny99 Online 11644
Postad: 23 feb 2024 16:54
ThomasN skrev:

Ja, det det var ett misstag.

Men poängen är att om i är konstant blir derivatan noll och därmed också spänningen över induktansen noll. Induktansen blir som en kortslutning.

Aa ok då är jag med.

Svara
Close