1
svar
67
visningar
Mokso1 behöver inte mer hjälp
Induktion. Fattar inte facit

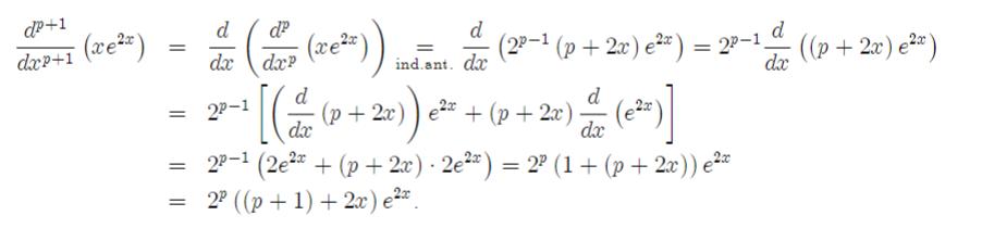
Har försökt förstå facit i timmar. Googlat men får inget svar. Såhär står det i facit. Två saker jag inte förstår är:
1. Längst till höger på första raden. Varför får han flytta utanför ?
2. På rad två. Vad innebär hakparenteserna? Vad händer där?
Kanske är jättelätt bara jag som inte fattat men hade uppskattat lite hjälp
1. 2p–1 är en konstant som inte påverkas av deriveringen.
2. Hakparentesen betyder att 2p–1 skall multipliceras med båda termerna innanför parentesen.