4 svar
194 visningar
dajamanté behöver inte mer hjälp
dajamanté 5139 – Fd. Medlem
Postad: 16 apr 2018 15:20 Redigerad: 16 apr 2018 15:42

Induktion problem

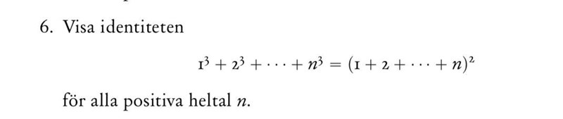
Hej! Jag har detta problem idag:

Jag kommer inte fram något vettig. Här kommer min trist försök:

 

1. Vi bevisar först att det gäller för några basfall:

13+23=9=(1+2)213+23+33=36=(1+2+3)2

 

2. Vi antar att det gäller för n.

13+23+33+.....+ n3=(1+2+3+....n)2=(12 n n+1)2

 

3. Om det gäller för n säger vi helt random och provocerande att det gäller för n+1.

13+23+33+.....+ n3 +n+13=summan för n + n+13=(1+2+3+....n+n+1)2= (12 nn+1+n+1)2=(12n2+n+n+1)2=(12n2+32n+1)2

 

4. Vi har inte lyckat bevisa något alls, vi stänger datorn och funderar på meningen med livet trots kraftigt migrän.

 

 

edit: jag har bytt kategorin till matte 5 eftersom det tillhör mer matte 5 än en vanligt univ kurs.

Smutstvätt 23680 – Moderator
Postad: 16 apr 2018 16:29

arad1986 126
Postad: 16 apr 2018 16:32

Hej!

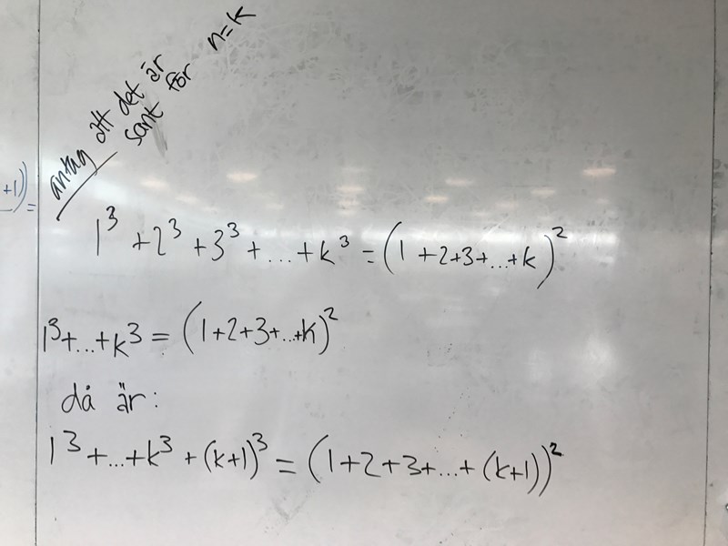
Du gör rätt, men i steg 3 försök använda det du vet från steg 2. Steg 2 säger ju att 13+23+...+n3=nn+122

Varför inte använda detta när du försöker bevisa att 13+23+...+n3+n+13=nn+12+n+12?Ersätt 13+23+...+n3 med nn+122och bevisa istället att nn+122+n+13=n(n+1)2+n+12

Kan du forstätta nu?

dajamanté 5139 – Fd. Medlem
Postad: 16 apr 2018 16:48

Aha!  Jag tror jag ser nu. Den sista (k+1)^3 måste vara utanför parentesen.

Tackar! Jag måste tyvärr fortsätta imorgon, så jag skriver om jag kan inte lösa ff!

AlvinB 4015
Postad: 16 apr 2018 16:51

Genom antagandet får vi:

13+23+...+n3=(1+2+...+n)2

Om vi nu vill bevisa för n+1 n+1 får vi manipulera denna likhet. Om man adderar (n+1)3 på båda sidor får vi ju i alla fall rätt vänsterled:

13+23+...+n3+(n+1)3=(1+2+...+n)2+(n+1)3

I högerledet skulle vi ju vilja ha (1+2+...+n+n+1)2. Det hela hänger alltså på att visa:

(1+2+...+n)2+(n+1)3(1+2+...+n+n+1)2

Tror du att du klarar det? (Det blir avsevärt mycket enklare om du använder formeln för summan av talen upp till n n n(n+1)2)

Svara
Close