3 svar
36 visningar
Soderstrom behöver inte mer hjälp
Soderstrom Online 2768
Postad: 2 jan 2021 05:29 Redigerad: 2 jan 2021 05:38

Induktionsbevis (2)

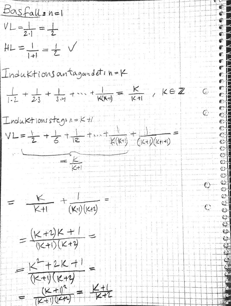
Uppgiften: 11·2+12·3+13·4+...+1n(n+1)=nn+1\displaystyle \frac {1}{1 \cdot 2} + \frac {1}{2 \cdot 3} + \frac {1}{3 \cdot 4} +...+ \frac {1}{n(n+1)} = \frac {n}{n+1}

Jag gör nog fel i "Induktionssteg", eller?

Smutstvätt 23581 – Moderator
Postad: 2 jan 2021 08:18

Nej, det ser väl bra ut? Du kanske ska skriva någon kommentar om att "enligt induktionsantagandet kan detta skrivas om som kk+1, och kanske någon kommentar om vad du har bevisat, men annars ser det väl vettigt ut? :)

Soderstrom Online 2768
Postad: 2 jan 2021 08:22

Ja, jag ser varför jag trodde att det var fel. Jag jämförde svaret med HL då n=k och inte n=k+1. Men ja det är rätt egentligen :)

Yes ska lägga kommentarer på tentan den 5e ^_^

Smutstvätt 23581 – Moderator
Postad: 2 jan 2021 09:17

Jaha, då förstår jag! Det är lätt hänt! 

Utmärkt! Hälsa från mig på tentan! 😉

Svara
Close