1
svar
77
visningar
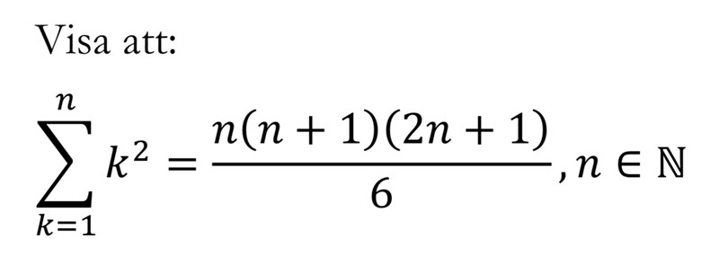
Induktionsbevis
Hur ska man lösa denna uppgiften?

Har du jobbat med induktionsbevis tidigare?
En gratistjänst från Mattecentrum
Hur ska man lösa denna uppgiften?

Har du jobbat med induktionsbevis tidigare?