2
svar
96
visningar
alexandraliii behöver inte mer hjälp
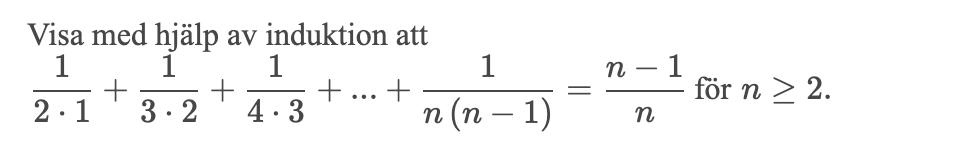
Induktionsbevis
hej, behöver hjälp med denna uppgift. Jag har kommit såhär långt:

det känns som att jag har gjort ett slarvfel men jag kan inte komma på var nånstans, uppskattar hjälp:) 
Felet ligger i sista steget - du får inte förenkla med p3 , eftersom du har addition i nämnaren i stället för multiplikation. Kan du hitta en faktorisering för nämnaren?
Nu gick det! Jag fick det till 1+ p i båda leden:) Tack!