Induktionsbevis
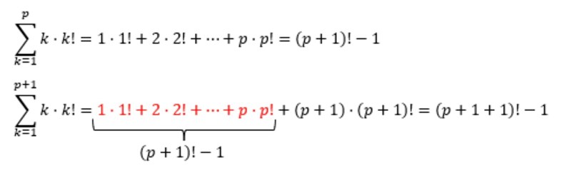
hej, behöver hjälp med följande uppgift. Jag har löst den precis som facit fram till det tredje steget då man ska sätta ut n=p+1. Jag förstår inte hur man kan göra om (p+1)!-1 + (p+1)(p+1)!-1 till (p+1+1)!-1. Har det något att göra med Pascals triangel eller är jag ute och cyklar.....?
Tacksam för hjälp!

ovan är uppgiften och nedan en del av lösningen

Du verkar ha fått med en term "-1" för mycket i uttrycket du undrar över, så jag misstänker att det kommer bli uppenbart när du inser det. Jag skriver dock en lösning ändå. Vi vill visa följande:
(detta fick vi från vårt induktionsantagande). Därmed fås:
(adderade ett till både HL och VL), jag utvecklar nu HL:
( faktoriserade ut termen (p+1)! )
(men detta kan vi ju skriva som (p+2)! )
Alltså stämde det uttryck vi fick från vårt induktionsantagande, således är påståendet via induktionsprincipen bevisat (basfallet p=1 är trivialt)
Jaaa nu förstår jag, tack så mycket för hjälpen:)!