Induktionsbevis.



Tjenare. Som ni ser i uppgiften o rubriken handlar det om induktionsbevis. Har även delat min uträking, eller iallafall så långt jag kom. Jag kom en bit sen fick jag hjärnsläpp och tänkte att jag kollar facit, men där blev det bara värre. Jag har gjort allt rätt en så länge men när det kommer till självaste beviset så fattar jag INGENTING.
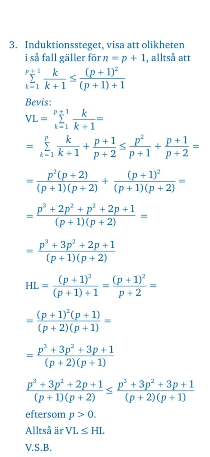
Här är biten jag ej förstår: 
Dem börjar med att skriva ut VL, sen ifrån ingenstans lägger dem på p+1 / p+2 och det där förstår jag mig ej på. Hursomhelst, skulle någon kunna förklara allt som händer i bilden jag visar ovanför detta stycke och varför dem gör som dem gör.
Skulle även jättegärna ta allmäna tips om induktionsbevis som man kan tänka på för att enklare lösa sådana uppgifter då jag ska ha prov på det om ett tag o har svårt för det.
Mvh
Neo
Om du tittar noga, så kan du se att på första raden summerar man från k = 1 till k = p+1, men på nästa rad summerar man bara från k till p och skriver den sista termen för sig. Sedan använder man induktionsantagandet och ersätter summan med något som man vet är större. På nästa rad skriver man om bråken så att de har samma nämnare, och sedan skriver man dem på samma bråkstreck, multiplicerar ihop täljaren och förenklar den.
Behöver du hjälp med vänsterledet också?
Smaragdalena skrev:Om du tittar noga, så kan du se att på första raden summerar man från k = 1 till k = p+1, men på nästa rad summerar man bara från k till p och skriver den sista termen för sig. Sedan använder man induktionsantagandet och ersätter summan med något som man vet är större. På nästa rad skriver man om bråken så att de har samma nämnare, och sedan skriver man dem på samma bråkstreck, multiplicerar ihop täljaren och förenklar den.
Behöver du hjälp med vänsterledet också?
Så man kan byta ut k emot p+1? är de därför det blir p+1 / p+2
För att hitta en enklare variant: i stället för att ha summan av alla tal från 1 till 5 (1+2+3+4+5) tar man summan från 1 till 4, plus 5 ((1+2+3+4)-5).
Smaragdalena skrev:För att hitta en enklare variant: i stället för att ha summan av alla tal från 1 till 5 (1+2+3+4+5) tar man summan från 1 till 4, plus 5 ((1+2+3+4)-5).
Ahaaaaaa vänta? Så att eftersom det är upp till p+1 antal element så kommer p+1 vara det sista elementet i talföljden, vilket betyder att det som står bakom p+1 / p+2 är det näst sista i talföjden och eftersom n = p+1 så kan man byta ut k emot p+1 eftersom det är de sista elementet i talföljden? På samma sätt som om n = 20 i en talföljd så kan man byta ut k i talföjden mot 20 och då få sista värdet av talföljden?