4
svar
66
visningar
Dkcre behöver inte mer hjälp
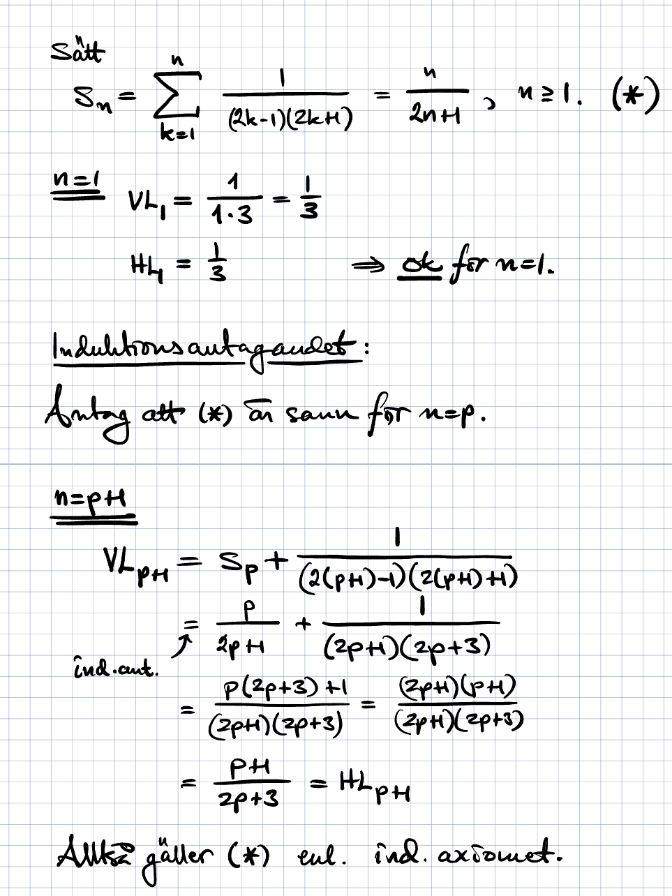
Induktionsbevis..
Hej,
Jag undrar hur man löser fråga 2310? Jag klarar inte av det.

Är det rätt såhär långt?

Induktionen innebär att man genom att lägga till en term till summan för n får fram summan för n+1, d v s
visa att
Det innebär en del räknande, men stämmer.
Okej, tack
