1
svar
147
visningar
Induktionsbevis
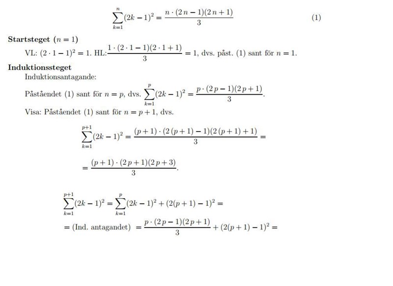
Hej! Jag håller just nu på med induktionsbevis och har lite problem med detta talet. Så här långt kom jag men hur jag att förenkla efter det sista steget längst ner? Vet inte hur jag ska gå vidare
Du är på rätt väg. Du får fortsätta med att förenkla det sista uttrycket och visa att det blir samma sak som när du sätter in n = p+1 i sambandet (1). Jobba på bara!