2
svar
183
visningar
Induktionsbevis
Hejsan! Jag har ett rätt så svårt induktionsbevis jag behöver hjälp med.

Läraren uppmanar oss att inte använda sig av miniräknare.
Jag försökte lite själv:

BF (n=1): VL=1/2 HL = 1/2
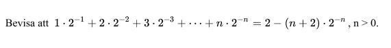
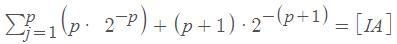
IA: Antag att likheten gäller för något n=p, dvs

IS: Givet IA, antag att likheten gäller för n=p+1, dvs visa


VL: 

Jag undrar till en början om jag har överhuvudtaget gjort rätt, och i så fall undrar jag hur man lyckas förenkla VL.
Jag uppskattar all hjälp jag kan få :)
Hej,
Ser ett fel i början av din lösning. I din första ekvation har du skrivit: Summan från j=1 till n. Då ska det också stå j i ekvationen. Alltså j*2^(-j).
Tack för hjälpen! Hur fortsätter jag?