Induktionsbevis
Hej! Nu under distansundervisningen har jag fått en ganska svår uppgift. Jag ska använda mig utav induktionsbevis och ingen miniräknare. Hur ska jag börja? 
Hej!
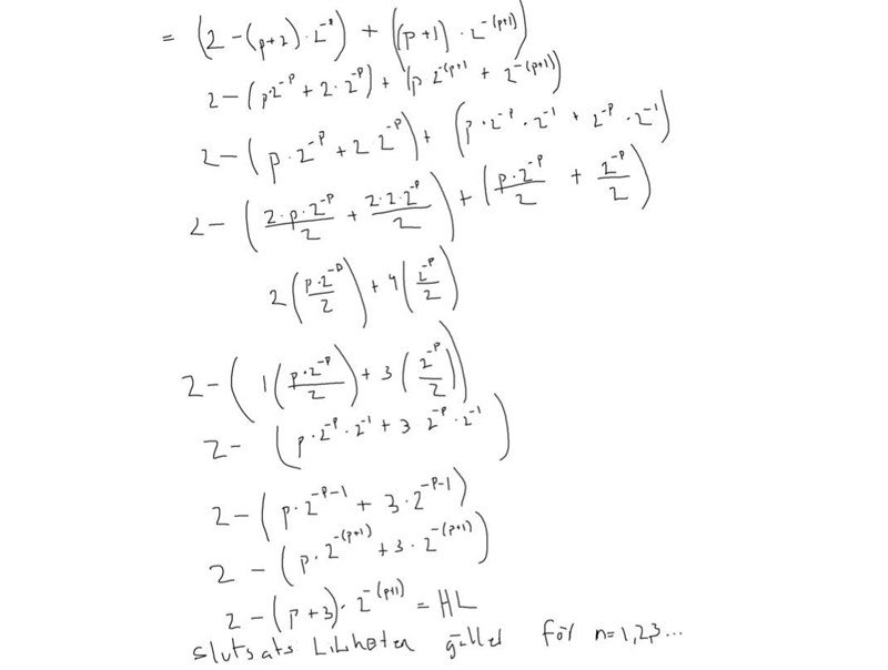
Börja med att (för tydlighet och kompakthetsskull) skriva vänsterledet med summanotation.
Visa sedan att likheten stämmer för .
Antag sedan att det stämmer för (induktionsantagandet).
Visa sedan att det stämmer för genom att använda induktionsantagandet.
Visa spoiler
För så kan du dela upp summan i två termer, en med termen och en med hela summan upp till och med och använda induktionsantagandet på det.
Hej, tack för ditt svar! Jag kom en bit men sedan fastnade jag igen, har jag gjort något fel på vägen?
I induktionsantagandet ska du inte visa något, utan du antar att det gäller för något .
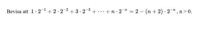
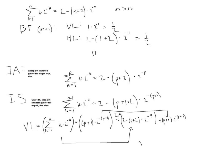
Sen tycker jag att du borde följa mitt tips (och skriva med summanotation men du måste inte om du verkligen inte vill) och skriva vänsterledet som summa av två termer, en med alla termer upp till och med och sen en term med . Utnyttja sedan induktionsantagandet (du hoppar över många steg).
I ditt vänsterled verkar du glömt en i exponenten i näst sista raden. Sista raden ser inte riktigt rätt ut. Du hoppar över några steg, skriv ut varje steg så blir det inte någon miss.
Det här var det jag kom fram till, hur ser detta ut?

Använd helst inte samma index i summasymbolen som slut term (n=1... till n=n), använd helst något annat som typ j eller i:
. Du har även använt summasymbolen lite fel i första raden på sista bilden, du använder inte ditt index någonstans (och n är ju beroende på p!).
Jag tycker du borde redovisa åtminstone något steg till mellan rad 3 och 4 i sista bilden, så slipper man gissa vad det är du gjort/hur du kom fram till den omskrivningen.
Det ser ut som om du är på rätt spår, men jag kan tyvärr inte riktigt följa din beräkning. Det ser ut som om du bara struntar i den andra parentesen och jobbar vidare med den första? Och likhetstecknen bara försvinner?!
Du tänker nog rätt (tror jag), men skriv om det tydligare om du vill ha mer respons!
Ser det här bättre ut? Tack så jätte mycket för hjälpen!


Ja, det tycker jag ser rätt ut!
Hej,
I förhoppningen att beräkningarna blir enklare kan man prova att först multiplicera allt med för att få det önskade sambandet
.
Steg 1. Visa att sambandet är sant då
Högerledet är då
Vänsterledet består av 1 term och är , vilket stämmer överens med högerledet.
Steg 2. Anta att sambandet stämmer för ett positivt heltal ; du vet från Steg 1 att det finns ett sådant positivt heltal, nämligen heltalet 1.
Steg 3. Visa att sambandet är sant för nästa positiva heltal, det vill säga för heltalet .
Du vet från Steg 2 att
Multiplicera detta med talet för att få sambandet
Du vill visa att detta kan skrivas som sambandet
Om du adderar till ditt vänsterled och till ditt högerled så förändras inte det rådande sambandet; då kommer du att få ett vänsterled precis så som du vill ha det och ett högerled som ser ut såhär.
Detta kan du skriva som
vilket är precis det högerled som du vill ha!
Beräkningarna visar att om sambandet gäller för heltalet så gäller sambandet även för nästa heltal .
Steg 4. Enligt Induktionsaxiomet är sambandet sant för alla positiva heltal .