Induktionsbevis
Hej!
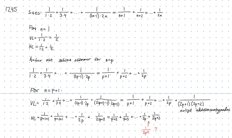
Försöker lösa uppgift 1245 i origo matte 5 men fastnar vid HL för n=p+1. Kan någon förklara varifrån termen 1/(2p+1) kommer ifrån?
Tack!


Välkommen till Pluggakuten! Det finns väl ingen -term där? Den saknas eftersom vi har termen och därefter (nästkommande tal i beviset), och den senare termen är lika med , inte . :)
Det är precis så jag känner att det borde vara men i facit (se bild) finns -termen med och utan den går beviset inte ihop utan den termen. Har du någon aning om varifrån termen kan tänkas komma ifrån? Hittade en gammal tråd (https://gamla.pluggakuten.se/forumserver/viewtopic.php?id=107961&id=107961) där någon sa att hela talföljden förskjuts men förstod inte riktigt det resonemanget :/ 
Hmmm, jaha okej, då förstår jag. Om vi skriver ut några fler termer precis i slutet av talföljden får vi:
Vi har satt n till . Om vi sätter in detta i talföljden:
:)
Ok, då förstår jag! Tack för hjälpen! :)
Vad bra, varsågod! :)