3
svar
110
visningar
ahmadrasoli behöver inte mer hjälp
Induktionsbevis
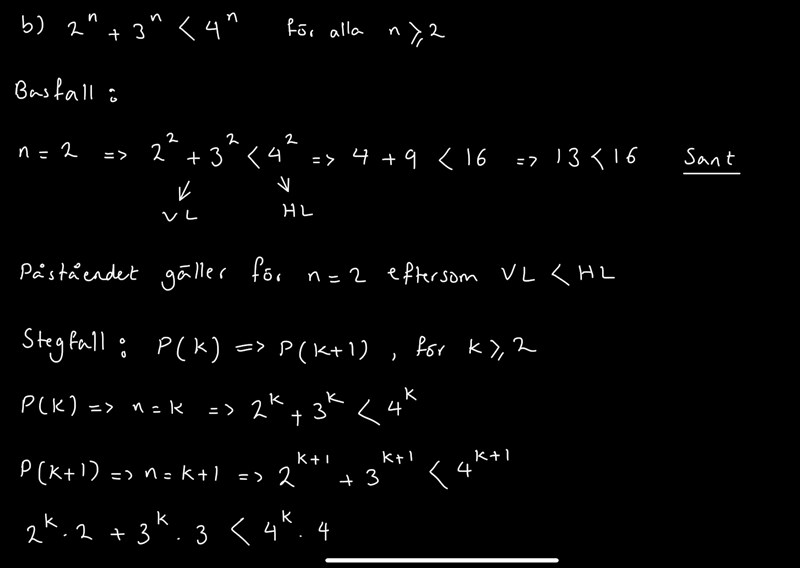
Här har jag fastnat på frågan 1.b)
Mitt svar är:

Från sista raden får du 3(2k +3k ) -2k <3*4k -2k <3*4k <4*4k =4k+1 Klart!
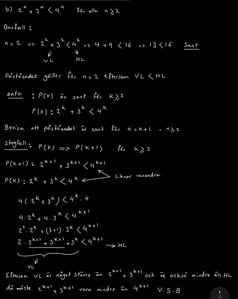
Jag kunde lösa uppgiften själv utan att kolla på ditt svar och jag är så otroligt nöjd! Men tack ändå. Här är mitt svar om någon annan undrar:
