Induktionsbevis, delbarhet
Har fastnat på en uppgift i matte 5 med ett knepigt induktionsbevis. Frågan lyder följande:
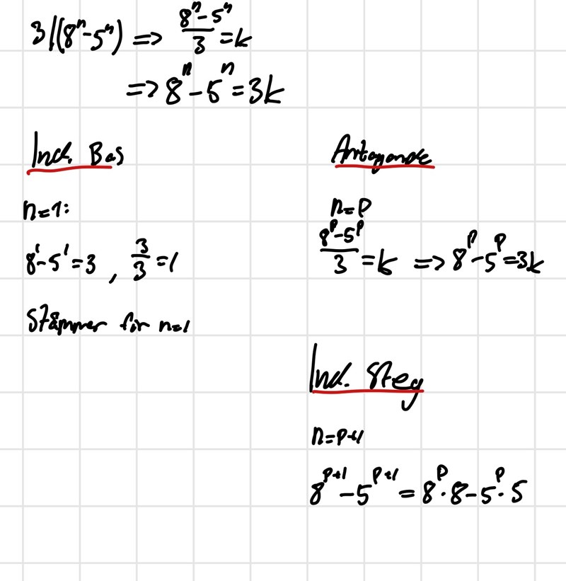
”Visa med hjälp av induktion att 8n-5n är delbart med 3 för alla n större eller lika med 0.”
Jag har kommit så här långt, men vet inte hur jag ska fortsätta för att hitta antagandet i induktionssteget. Tacksam för tips :)

Prova att dela upp i två delar. Tänk på att , så vi kan dela upp till . :)
Ahaa, där har vi det!
Alltså blir det:
har ju faktorn 3, och parentesen är enligt antagandet delbart med 3. Men eftersom det är addition mellan termerna kan man väl inte säga att hela uttrycket är delbart med 3 eller?
Jag förstår inte riktigt hur du har utvecklat och förenklat. Jag tänker mig följande lösning:
:)
Okej, tackar! Nu är jag med :)
Vad bra, varsågod! :)