Induktionsbevis för en summa
Visa med induktion att, för alla heltal n>=1,

Hur börjar jag här när n ska vara större eller lika med 1 men k=0? Vet inte hur jag ska göra i basutfall steget?
Börja med att visa att det gäller för n = 1.
Visa sedan att: Om det gäller för n = x så gäller det även för n = x+1.
När jag skriver n=1 så blir VL inte lika med HL
MrPrince901 skrev:När jag skriver n=1 så blir VL inte lika med HL
OK, visa då din uträkning så hjälper vi dig att komma vidare.
Yngve skrev:MrPrince901 skrev:När jag skriver n=1 så blir VL inte lika med HL
OK, visa då din uträkning så hjälper vi dig att komma vidare.

Du saknar en term i VL, den där k = 0.
Yngve skrev:Du saknar en term i VL, den där k = 0.

Nu finns termen med. Vart har jag gjort fel?
Du har inte fler termer än tidigare, du har bara skrivit dit summatecknet (vilket är fel när uttrycket som summeras inte beror av k längre). Termen du har med är den för k = 1, men det ska vara en för k = 0 också.
Laguna skrev:Du har inte fler termer än tidigare, du har bara skrivit dit summatecknet (vilket är fel när uttrycket som summeras inte beror av k längre). Termen du har med är den för k = 1, men det ska vara en för k = 0 också.
Förstår inte. Jag ska ju bevis för alla n större än eller lika med 1. k=0 känns orelevant i det läget. Skulle du kunna visa hur en korrekt uträkning i detta steg ska se ut så att jag kan förstå?
betyder en summa termer av samma typ, nämligen f(k) som i ditt fall är
I första termen skall k vara lika med A, och så ökar vi k i varje term, så att i den sista termen k blir lika med B.
Tillägg: Jag ser att summasymbolen inte ser likadan ut i inlägget som i editiorn. Hoppas att det blir begripligt ändå.
MrPrince901 skrev:Nu finns termen med. Vart har jag gjort fel?
OK, då har du nog bara missförstått vad summasymbolen betyder.
Du kan läsa om den här, scrolla ner till stycket med rubrik "Summasymbolen".
Är det såhär det ska se ut?
Inte riktigt. Nu har du korrekt gjort uträkningen för basfallet n = 0, som faktiskt fungerar fast det stod i uppgiften att vi skulle börja på n = 1.
När n = 1 så antar k i summan två värden, nämligen 0 och 1. Nu har du bara med k = 0.
Laguna skrev:Inte riktigt. Nu har du korrekt gjort uträkningen för basfallet n = 0, som faktiskt fungerar fast det stod i uppgiften att vi skulle börja på n = 1.
När n = 1 så antar k i summan två värden, nämligen 0 och 1. Nu har du bara med k = 0.
Förstår inte riktigt, skulle du kunna förklara utförligare eller visa ett exempel?
Vänsterledet är en summa av två termer. En term där k = 0 och en term där k = 1.
Har du läst avsnittet om summasymbolen jag länkade till i svar #11?
Om nej, gör det.
Är det något där som du vill att vi förklarar tydligare/på annat sätt?
Yngve skrev:Vänsterledet är en summa av två termer. En term där k = 0 och en term där k = 1.
Har du läst avsnittet om summasymbolen jag länkade till i svar #11?
Om nej, gör det.
Är det något där som du vill att vi förklarar tydligare/på annat sätt?
Jag har läst avsnittet och jag förstår vad summasymbolen betyder. Men jag förstår fortfarande inte hur jag ska göra. VL blir inte lika med HL om jag gör så som du säger. Någonstans så missförstår jag så jag hade gärna uppskattat om man någon skulle kunna visa hur jag ska göra i detta steg.
Återigen: VL ska bli två termer, men i dina uträkningar har du bara skrivit en term
Exempel 1:
betyder
Detta är alltså en summa av tre termer, där varje term har formen och antar värdena 1, 2 och 3.
Exempel 2:
betyder
Detta är alltså en summa av två termer, där varje term har formen och antar värdena 3 och 4.
====
Gör nu ett nytt försök att skriva de två termer som VL i din uppgift beskriver.
Yngve skrev:Återigen: VL ska bli två termer, men i dina uträkningar har du bara skrivit en term
Exempel 1:
betyder
Detta är alltså en summa av tre termer, där varje term har formen och antar värdena 1, 2 och 3.
Exempel 2:
betyder
Detta är alltså en summa av två termer, där varje term har formen och antar värdena 3 och 4.
====
Gör nu ett nytt försök att skriva de två termer som VL i din uppgift beskriver.

Är det korrekt nu?
Ja, nu är det korrekt.
Nu har du visat att likheten stämmer för n = 1.
Kommer du vidare med nästa steg då?
Yngve skrev:Ja, nu är det korrekt.
Nu har du visat att likheten stämmer för n = 1.
Kommer du vidare med nästa steg då?

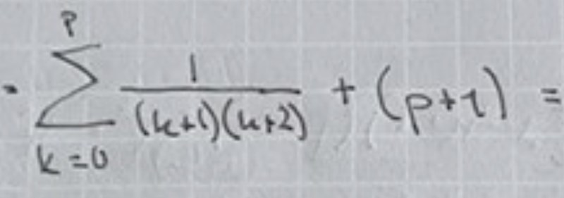
Tror att jag har löst den nu. Är det såhär det ska se ut?
Du har tänkt rätt och räknat rätt, men du har skrivit fel här. Det ska inte stå (p+1) som andra term:

Det ska istället stå
Yngve skrev:Du har tänkt rätt och räknat rätt, men du har skrivit fel här. Det ska inte stå (p+1) som andra term:
Det ska istället stå
Tackar för all hjälp!