3
svar
145
visningar
Lejonsson behöver inte mer hjälp
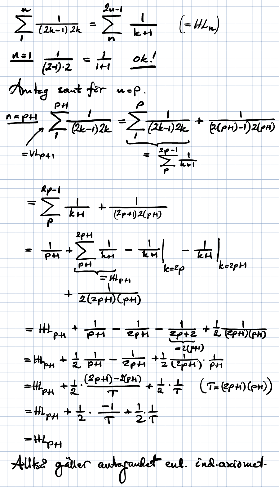
Induktionsbevis, origo 5 2212
Skulle jag kunna få hjälp med att förstå vad som sker i högerledet i beviset! Det är termer som enligt facit försvinner och tillkommer och jag förstår inte
1/(3*4) = 1/4 - 1/3,
och så vidare.
Lejonsson skrev:
Skulle jag kunna få hjälp med att förstå vad som sker i högerledet i beviset! Det är termer som enligt facit försvinner och tillkommer och jag förstår inte

2213 bonus.
