0
svar
83
visningar
Inhomogen differentialekvation
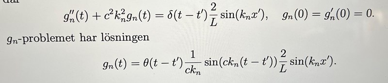
Hej! Har fastnat helt på partikulärlösningen för denna, vad för ansats gör man när inhomogeniteten är ett dirac-delta?
