Inre derivata i Integrerande faktor

Hej.
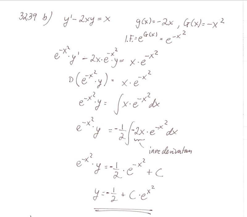
Jag läser ett tekniskt basår och i sista delen av matematiken hoppar vi in i differentialekvationer, jag har då en djupdykande fråga gällande integrerande faktor. Se bifogad fil.
Jag vet hur man ställer upp ekvationen och löser den, men vill veta mer om vad jag egentligen gör. Dvs, vad är det som ”händer” när jag hittat den inre derivatan för e^G(x) och löser integralen och då får en faktor att sätta in i funktionen för y. Varför ”försvinner” integraluttrycket?
Var i lösningen tycker du att integraltecknet försvinner?
?
Försvinner är inte korrekt ordval, söker snarare en förklaring för nästa steg hur integreringen går till. Varför blir ∫−2xe^-x2 dx = e^-x2 + C ?
Ska tilläggas att de integraler vi tidigare beräknat enbart varit ifrån matte 3c, och en liten bit utav matte 4. Så vissa räkneregler kan ha missats att redovisas, som exempelvis i detta räkneexempel. Snarare är detta ett ”knep” som visats för mig när integrering av e-bas med en inre derivata förekommer.
Substituera
vilket ger
Alltså
Är det något steg ovan som är oklart?
Tror jag förstår. Man sätter alltså dx i samband med dt, löser integralen och sedan substituerar tillbaka -x^2 , så det är avseende på x igen?
Tack