1
svar
162
visningar
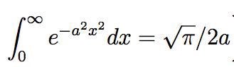
Integral
Hej jag undrar hur denna integral blir √π/2a?
Vilket är en del av lösningsförslaget:

Jag försökte lösa uppgiften men kom inte framåt:

Tacksam för svar
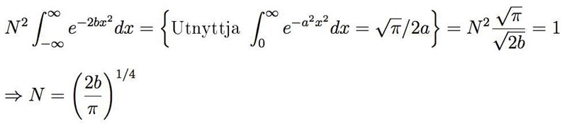
Kanske att detta hjälper:
https://semath.info/src/gaussian-integral.html#conv
Är inte exakt samma potens men
Men om
, så borde din integral vara