Integral

Hur man skriver lösning till den bilden längst upp ( fråga är att reflektera över beräkningarna)?Kan någon förklara hur man gör det?
Tack förhand!
- ** Jag har svaret den följande sätt och fick feedback : There is no reflection on the calculations in the task and Improper use of =, (dvs. = 1/3 ln(4)).
Vidare, feedback är : Why? Reflection, discussion ??

Jag hänger inte riktigt med på vad du vill att vi ska kolla på men är bilden längst upp dina beräkningar? Om så är fallet kanske din examinator klagar över att du använder som ett tal? Man brukar annars byta mot en variabel (som är stort men inte är oändligheten) eftersom din integral är generaliserad då
Så du borde egentligen skriva exempelvis
Dracaena skrev:Jag hänger inte riktigt med på vad du vill att vi ska kolla på men är bilden längst upp dina beräkningar? Om så är fallet kanske din examinator klagar över att du använder som ett tal? Man brukar annars byta mot en variabel (som är stort men inte är oändligheten) eftersom din integral är generaliserad då
Så du borde egentligen skriva exempelvis
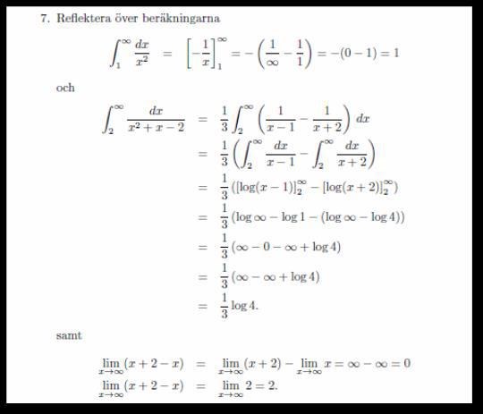
Frågan är att reflektera över beräkningarna som står i bilden längst upp.
Dracaena skrev:Jag hänger inte riktigt med på vad du vill att vi ska kolla på men är bilden längst upp dina beräkningar? Om så är fallet kanske din examinator klagar över att du använder som ett tal? Man brukar annars byta mot en variabel (som är stort men inte är oändligheten) eftersom din integral är generaliserad då
Så du borde egentligen skriva exempelvis
Ja, jag har skrivit den som . Ni kan se det i andra bilden
, du kan aldrig dra den slutsatsen, det kan vara precis vad som helst. Många gånger har man och ser efter att man har jobbat lite med det att det faktiskt konvergerar till ett tal, jag ser för det mesta småfel lite här och där, fick du någon mer feedback av din examinator eller var det bara "There is no reflection on the calculations in the task and Improper use of ="?
Dracaena skrev:, du kan aldrig dra den slutsatsen, det kan vara precis vad som helst. Många gånger har man och ser efter att man har jobbat lite med det att det faktiskt konvergerar till ett tal, jag ser för det mesta småfel lite här och där, fick du någon mer feedback av din examinator eller var det bara "There is no reflection on the calculations in the task and Improper use of ="?
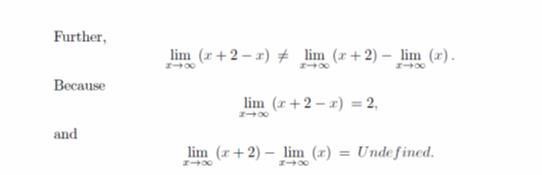
Nej, jag fick bara den feedback för första delen (integral), dvs, börjar med "we know that......" and andra delen lim.... feddback är "Why? Reflection, discussion ??". Du kan se att hur jag har skrivit i 3:e bild, som böjar Further......
Jag förstår faktiskt inte vad det är du gör efter "further..." varför tar du gränsvärdet, varför splittrar du den? så det spelar ingen roll om x går mot 10 eller 50 eftersom värdet är konstant. Utöver det förstår jag inte vad som är intressant med att visa att (x+2-x) går mot 2 då .
Kan du motivera allt efter "further..", jag kanske inte förstår vad det är du försöker visa.
Dracaena skrev:Jag förstår faktiskt inte vad det är du gör efter "further..." varför tar du gränsvärdet, varför splittrar du den? så det spelar ingen roll om x går mot 10 eller 50 eftersom värdet är konstant. Utöver det förstår jag inte vad som är intressant med att visa att (x+2-x) går mot 2 då .
Kan du motivera allt efter "further..", jag kanske inte förstår vad det är du försöker visa.
I fråga står att ,.
Därför tänkte jag att visa det är inte lika samma....