2
svar
90
visningar
semlan9876 behöver inte mer hjälp
integral
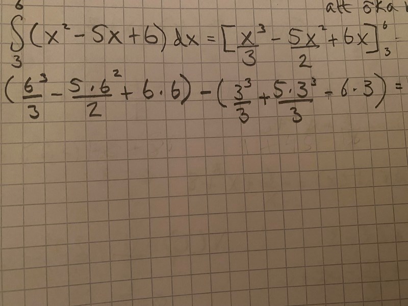
Hej jag ska räkna ut den här integralen (x2-5x+6)dx och har kommit en bit men få fel svar, någon som vet varför? Bifogar en bild på min beräkning.
Rätt svar ska tydligen vara 13,5
Du har bytt plats på plus och minus i den sista parentesen. (De skall ändras när man tar bort parentesen, men inte tidigare.)
Jag ser nu att jag gjort ett slarvfel, uppgiften är löst.