3 svar
123 visningar
jonte12 472
Postad: 6 mar 2022 19:32

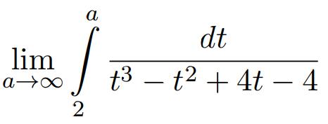
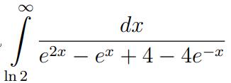
integral

Min uppgift är att lösa Efter variabelbytet ska det här bli lika med Jag förstår inte hur gränserna på integralen ändras. I början var ju nedre gräns ln2 och nu är det bara 2?

Bubo 8119
Postad: 6 mar 2022 19:37

Nedre gräns för x är ln(2)

jonte12 472
Postad: 6 mar 2022 20:00
Bubo skrev:

Nedre gräns för x är ln(2)

okej,

men längre fram i uppgiften kommer man till Jag fattar inte hur varför det blir (a-2)^2. Vad kommer kvadraten ifrån?

Bubo 8119
Postad: 6 mar 2022 20:22 Redigerad: 6 mar 2022 20:35

(a-1), menar du väl?

Man har valt 1/10 som faktor framför parentesen, så just den termen fick man fördubbla inne i parentesen.

Svara
Close