3
svar
104
visningar
nvm
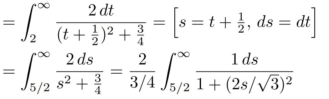
Nya undre gränsen: t=2 ger s=t+1/2=2+1/2=5/2. Övre gräns: t går mot oändligheten medför s går mot oändligheten.
Tomten skrev:Nya undre gränsen: t=2 ger s=t+1/2=2+1/2=5/2. Övre gräns: t går mot oändligheten medför s går mot oändligheten.
ah jag kom på det, tack iallafall!
