Integral

Den här är anteckning som ja har fått från en klasskompisen. Men ja tror han har gjort en räknefel här? Vad borde det egentligen motsvarar, kan någon hjälpa mig?
Det är en felskrivning.
Om du tar bort integraltecknett på höger sida av likhetstecknet så stämmer det.
Så här har ja tänkt att lösa integralen, vad har ja tänkt fel?

Det du alltid bör göra när du har tagit fran ett förslag på primitiv funktion är att derivera det och se om du då får tillbaka din ursprungsfunktion.
Om ja så är din primitiva funktion rätt, annars är den fel.
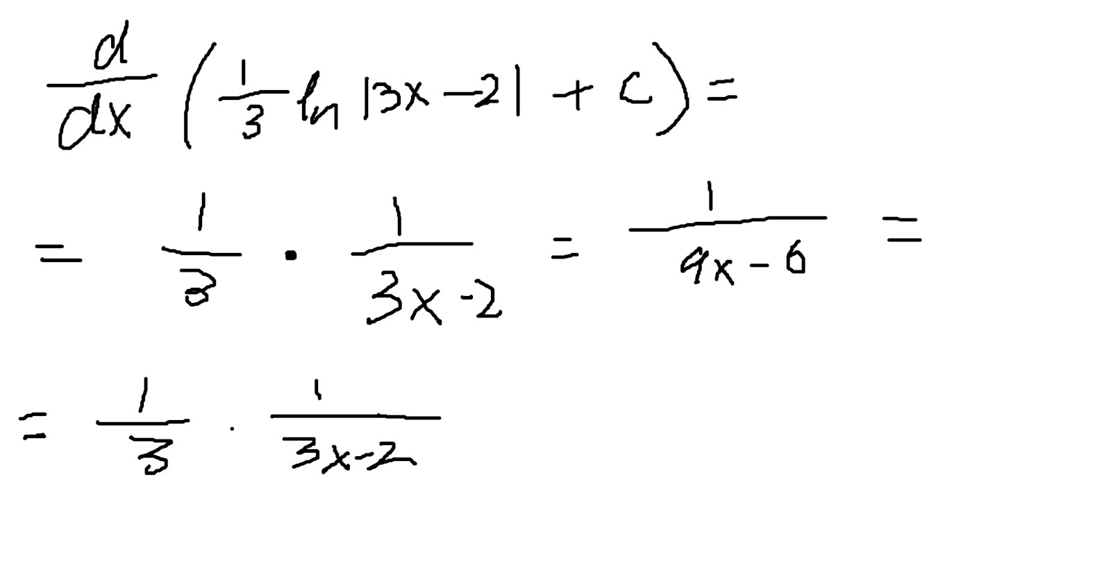
Pröva alltså att derivera ditt förslag på primitiv funktion. Vad får du för resultat?

Betyder det att jag har tänkt rätt? Integralen är som ja räknat innan.
Ja, du har tänkt rätt.
Intressant är nu att undersöka om din klasskompis har gjort fel eller inte. Pröva att derivera den funktionen och se vad du då får fram.

Det verkar som anteckning är också rätt. Han har inte gjort någon fel. Så både kan räknas som rätt svar till integralen.
Är det vad du försöker lära mig?
Det där blev ju inte samma funktion som ursprungsfunktionen, men du glömde den inre derivstan som är 3.
Derivatan av är .
Det betyder alltså att även är en primitiv funktion till .
Kan du klura ut hur det kan komma sig?
Yngve skrev:Kan du klura ut hur det kan komma sig?
Nej, kan du förklarar?
.
Uttrycken skiljer sig alltså endast åt med en konstant term, vilket förklarar att de båda har samma derivata.