3
svar
132
visningar
Avokado12345 behöver inte mer hjälp
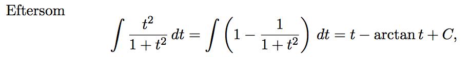
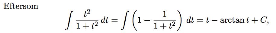
Integral

Hur får de integralen till ?
Använder man partiell integration eller hur gör man? Är helt vilse
Avokado12345 skrev:
Hur får de integralen till ?
Använder man partiell integration eller hur gör man? Är helt vilse
Variabelsubstitution i think? Verkar som det. Testa med det om ni gått igenom det.
Polynomdivision. Du får ut 1, sen rest - 1, som blir andra termen.
Ett klassiskt knep:
