1
svar
72
visningar
offan123 behöver inte mer hjälp
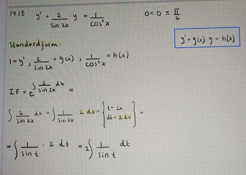
Integral

Så jag får problem vid den sista raden. Jag har utnyttjat variabelbyte men det hjälpte mig inte så mycket. Eller ska jag skriva om 1/sin t till sin t/(sint)^2 och skriva om nämnaren som ett uttryck med cos?
Det låter ju faktiskt som en bra idé.