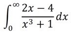
integral
Visa att

är konvergent
Jag antar att du bara låter uttrycket närma sig oändligheten och ser om gränsvärdet existerar.
Ej gjort sådana uppgifter men det borde väl vara så?
mrpotatohead skrev:Jag antar att du bara låter uttrycket närma sig oändligheten och ser om gränsvärdet existerar.
Ej gjort sådana uppgifter men det borde väl vara så?
svara ej om du inte kan bror
Haha, du kan ju testa och se om det fungerar? 😂
Okej, nu sökte jag upp det och jag hade fel hehe
om f är funktionen du integrerar och F är dess primitva funktion så ska du kolla om gränsvärdena:
existerar, om ja så är den konvergent.
Eftersom du vet att integralen är konvergent så kan du beräkna den direkt.
Börja med att köra PBU så du kan bryta isär bråket.
mrpotatohead skrev:Okej, nu sökte jag upp det och jag hade fel hehe
om f är funktionen du integrerar och F är dess primitva funktion så ska du kolla om gränsvärdena:
existerar, om ja så är den konvergent.
Man kan också visa att funktionen är strikt monoton på intervallet man integrerar. Detta skulle då ge upphov till en oändlig area att integrera över. Men det är inte den vanligaste metoden att applicera då det inte alltid är trivialt att visa att något är växande i det givna intervallet.
I denna uppgiften kanske det dock är smidigt. Det står ju inte att man skall beräkna integralen.