Integral
Hej!
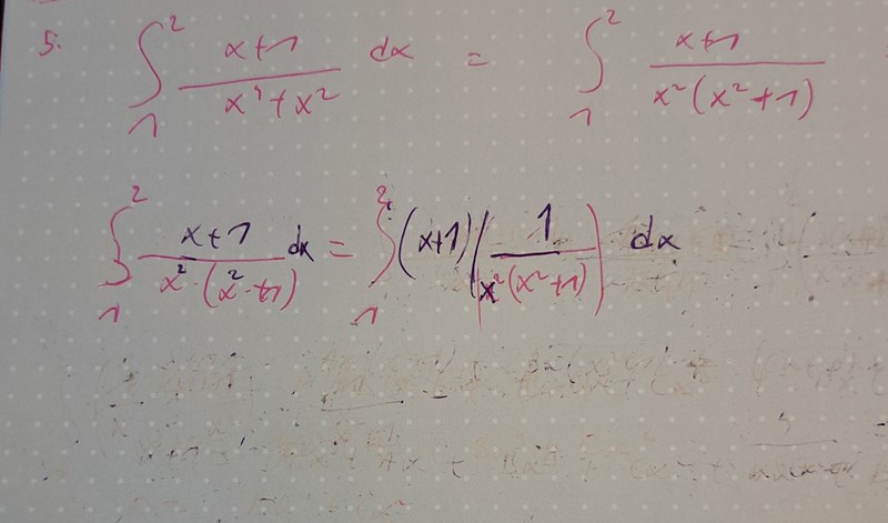
jag försöker med partialbråkuppdelning,men har typ hinder att komma fram. Så långt har jag kommit
Ditt D gör samma jobb som A.
Jag skulle skriva som summan av två bråk och sedan multiplicera med x+1.
Laguna skrev:Ditt D gör samma jobb som A.
Jag skulle skriva som summan av två bråk och sedan multiplicera med x+1.
Hur menar du? Ska det ej vara x+1/x^2(x^2+1)?
Såhär får jag det till

Kollade på det här klippet o killen på youtube gör på det här sättet
som liknar vår uppgift. Jag förstår ej varför vi ska ha A/x+B/x^2+Cx+D/x^2+1? Känns mer logiskt att det borde vara Ax+B/x^2+Cx+D/x^2+1.
Använd parenteser så man ser vad du menar.
Nu gissar jag att du menar (Ax+B)/x^2. Ja, det går precis lika bra.
Laguna skrev:Använd parenteser så man ser vad du menar.
Nu gissar jag att du menar (Ax+B)/x^2. Ja, det går precis lika bra.
Yes jag menar (Ax+B)/x^2+(Cx+D)/x^2+1
Laguna skrev:Använd parenteser så man ser vad du menar.
Nu gissar jag att du menar (Ax+B)/x^2. Ja, det går precis lika bra.
Såhär har jag gjort,men vet ej hur man ska hitta primitiv funktion till x-1/x^2+1?

Du menar (x-1)/(x^2+1).
Vet du primitiva funktionen till 1/(x^2+1)?
Laguna skrev:Du menar (x-1)/(x^2+1).
Vet du primitiva funktionen till 1/(x^2+1)?
Precis jag menar så. Ja primitiv funktionen är väl arctan(x). Men vi har (x-1) också?
Vet du primitiva funktionen till x/(x^2+1)?
Laguna skrev:Vet du primitiva funktionen till x/(x^2+1)?
Inte riktigt , kanske xarctan(x)?
Nvm. Jag löste tror jag!