8
svar
180
visningar
elefantcat3 behöver inte mer hjälp
Integral
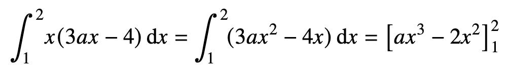
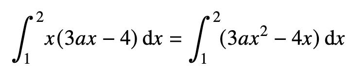
Uppgift : Bestäm talet a så att integralen 1∫2 x(3ax−4)dx får värdet 260.
Vart har jag gjort fel?

Den prim.fkn är fel
Utveckla integranden först så du får ett polynom.
Hur?
Så man ska börja med att multiplicera in x som är utanför parantesen?
Och sen göra den primitiva funktionen från de nya talen?
blir det 3ax^3/3 -4x^2/2
så ax^3 - 2x^2
Stämmer

