1
svar
276
visningar
Integral
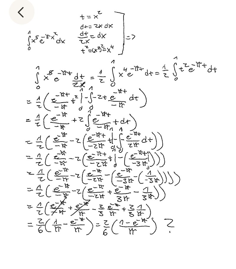
Förstår inte vad jag gör för fel här, försöker med en substitution och sen partialintegrera men jag får fel svar 
På tredje raden, hur blev det ett minus framför 2t?