1
svar
149
visningar
Integral

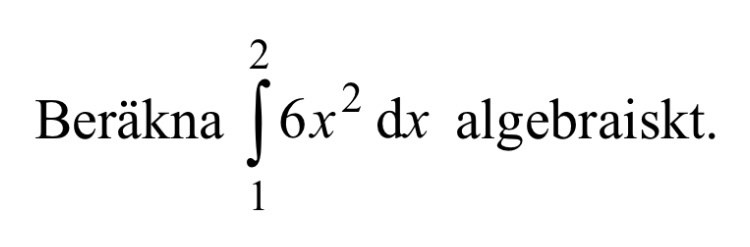
Hej, jag undrar gällande denna fråga. Jag vet att svaret blir 14, men jag har inte riktigt begripit vad integral beräknar för något och varför man tar differensen mellan primitiva funktionen för x-värdena 1 och 2. Kan någon förklara detta ytterligare?
En integral mäter arean under kurvan. I detta fallet mäter vi arean under kurvan av från till :

Varför man tar primitiva funktioner när man beräknar integraler är en betydligt svårare fråga att svara på. Jag försökte mig på att förklara detta i följande tråd, men det kan vara ganska svårförståeligt när man precis börjat räkna med integraler:
https://www.pluggakuten.se/trad/varfor-primitiv-funktion-vid-integraler/