Primitiv funktion
Beräkna en primitiv till funktionen
Jag tänkte först skriva om allt
Nu beräknar jag primitiven till det jag fick
är detta rätt?
Nej, din omskrivning blir fel. Man får inte göra på det sättet. Det är allmänt svårt att göra någon vidare förenkling med en sådan här funktion eftersom man har en subtraktion under ett rottecken.
Jag skulle istället rekommendera en substitution med .
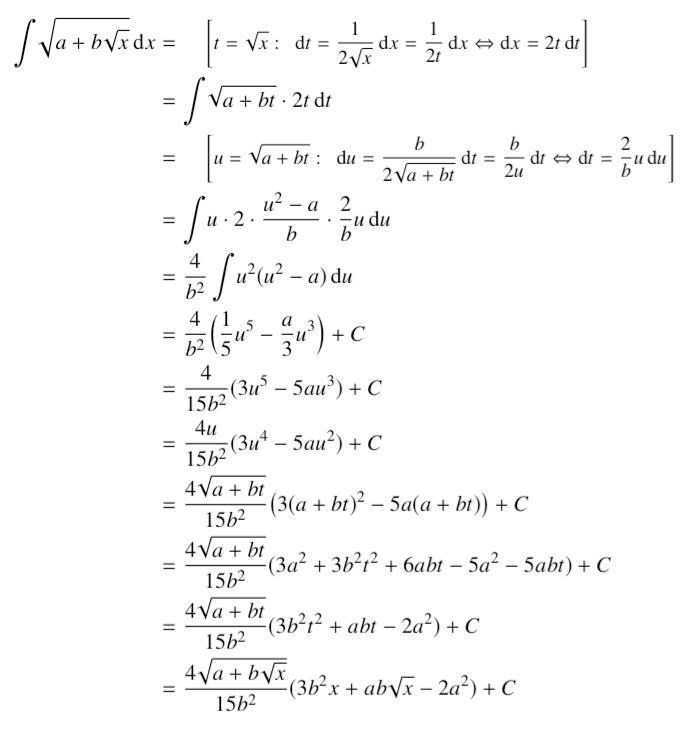
Vi löser det allmänna fallet istället.

Trinity skrev:Vi löser det allmänna fallet istället.
Använde du dig av u-substitution för att lösa det?
Vad menar du med u-substitution?
Supporter skrev:Trinity skrev:Vi löser det allmänna fallet istället.
Använde du dig av u-substitution för att lösa det?
Ja, han använder u-substitution.
Laguna skrev:Vad menar du med u-substitution?
Det han menar med u-sub är att man byter ut något i integralen mot u, så att den blir lättare att lösa.
Alan123 skrev:Laguna skrev:Vad menar du med u-substitution?
Det han menar med u-sub är att man byter ut något i integralen mot u, så att den blir lättare att lösa.
Då har jag lärt mig nåt igen. Det hette bara substitution när jag lärde mig.
Uppenbart behöver det inte heta u, för den första substitutionen är med t. Av namnet låter det som om just u var det viktiga.
Laguna skrev:Alan123 skrev:Laguna skrev:Vad menar du med u-substitution?
Det han menar med u-sub är att man byter ut något i integralen mot u, så att den blir lättare att lösa.
Då har jag lärt mig nåt igen. Det hette bara substitution när jag lärde mig.
Uppenbart behöver det inte heta u, för den första substitutionen är med t. Av namnet låter det som om just u var det viktiga.
På svenska brukar man faktiskt oftast bara säga 'substitution'. I USA använder man oftast variabeln vid substitution, därav använder man namnet '-substitution' på engelska.