2
svar
114
visningar
RAWANSHAD behöver inte mer hjälp
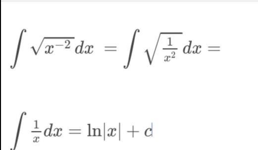
Integral igen
Jag menar svaret som jg fått

RAWANSHAD skrev:Jag menar svaret som jg fått
Det har med definitionsmängden till naturliga logaritmen att göra. Ser du hur?
Tog bort versalerna från din rubrik. Det står i Pluggakutens regler (och i rutan där man skriver in rubriken) att man skall undvika att enbart använda stora bokstäver. /moderator