1
svar
154
visningar
Maggi101 behöver inte mer hjälp
Integral
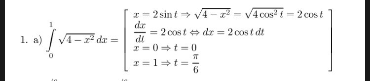
Jag ska beräkna en integral, men jag fastnar redan på första steget. Hur får de fram x= 2sint?
Och hur får de fram cos i steget därefter. trigonometriska identiteter eller?

De gör substitutionen , eftersom de tycker att det passar. Det medför nämligen att , som vi kan dra roten ur. Det är trigonometriska ettan som används vid omskrivningen från sin till cos, mycket riktigt!