Integral
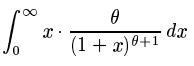
Jag skall beräkna följande integral
Jag vet att svaret skall bli 
Dock så kommer jag fram till .
Hur skall jag gå tillväga här?
Hur kom du fram till det du kom fram till?
Har du prövat med att använda partiell integration?
Vad vet man om ? Svaret stämmer inte för t.ex. .
Jag antar att det gäller att ?
Annars blir nämligen integralen divergent.
Låt och använd istället för heaviside-reserverade .
Be till gudarna att
Skaft skrev:Vad vet man om ? Svaret stämmer inte för t.ex. .
Theta får bara vara 2, 3 eller 4.
tomast80 skrev:Jag antar att det gäller att ?
Annars blir nämligen integralen divergent.
Theta måste vara 2, 3 eller 4.
Jroth skrev:Låt och använd istället för heaviside-reserverade .
Be till gudarna att
Hur gjorde du när du räknade ut detta? Förstår inte varför du ändrat gränserna...
Variabelbyte påverkar såväl integrand som gränser.
.
Gränser: .
Efter variabelbyte och termuppdelning:
. O s v.