4
svar
113
visningar
MaDy behöver inte mer hjälp
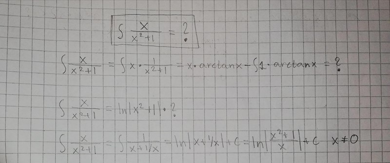
Integral av rationellt uttryck envariabelsanalys
Sitter helt fast på uppgiften. Är det någon viktig regel som jag har missat? Har en känsla av att jag behöver partialbråksuppdela men förstår inte hur.

Ett tips, vad blir:
?
Pröva en substitution med !
tomast80 skrev:Ett tips, vad blir:
?
Kanske lite petigt men här behövs inte absolutbelopp eftersom x är reellt
AlvinB skrev:Pröva en substitution med !
Tack så mycket! Nu släppte det :)