4
svar
196
visningar
Zeshen behöver inte mer hjälp
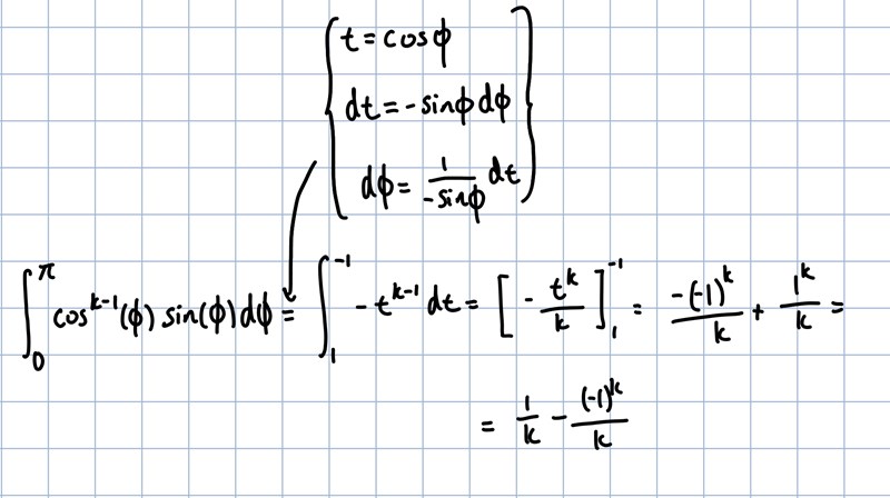
Integralberäkning av sammansatt cos och sin

Hur kommer man fram till den primitiva funktionen det i gröna ringen? Partiell integration verkar inte fungera och variabelsubstitution känns krångligt. Videon förklarade aldrig...
Med går det mycket bra med variabelsubstitution.
Laguna skrev:Med går det mycket bra med variabelsubstitution.
hmm, okej tack, låt mig testa
Laguna skrev:Med går det mycket bra med variabelsubstitution.
Sant! Funkade bra faktiskt :D Dock så fick jag k istället för k+1

Zeshen skrev:Laguna skrev:Med går det mycket bra med variabelsubstitution.
Sant! Funkade bra faktiskt :D Dock så fick jag k istället för k+1
Det här bör vara rätt, verkar som det saknas ett *k i lösningen i video också och (-1)^k vid slutet